Here are few examples that will help you to prepare for any Data Structure Examination
Sorting Based Example
Bubble sort is used to sort the series. Each pass (iteration) of bubble sort will work as follows:
Take an array of numbers ” 5 1 4 2 8“, after first pass the sequence will be “1 4 2 5 8”
Explanation as follows: Sequence of First Pass can be found as follows
( 5 1 4 2 8 ) → ( 1 5 4 2 8 ), compares the first two elements, and swaps since 5 > 1.
( 1 5 4 2 8 ) → ( 1 4 5 2 8 ), Swap since 5 > 4
( 1 4 5 2 8 ) → ( 1 4 2 5 8 ), Swap since 5 > 2
( 1 4 2 5 8 ) → ( 1 4 2 5 8 ), Now, since these elements are already in order (8 > 5).
Question: Apply Bubble sort on the following sequence to sort
| 3 | 5 | 8 | 4 | 1 | 6 | 12 | 9 |
write only the state of an array after each pass (make sure that algorithms behaves in adaptive manner)
Solution : the sorting is shown in following steps (click for video explanation)
| Array | 3 | 5 | 8 | 4 | 1 | 6 | 12 | 9 |
| 1st Pass | 3 | 5 | 4 | 1 | 6 | 8 | 9 | 12 |
| 2nd Pass | 3 | 4 | 1 | 5 | 6 | 8 | 9 | 12 |
| 3rd Pass | 3 | 1 | 4 | 5 | 6 | 8 | 9 | 12 |
| 4th Pass | 1 | 3 | 4 | 5 | 6 | 8 | 9 | 12 |
| 5th Pass | 1 | 3 | 4 | 5 | 6 | 8 | 9 | 12 |
| 6th Pass | ||||||||
| 7th Pass |
Note : Since algorithm is adaptive, therefore it exits after 5th pass once the array becomes sorted. For non-adaptive algorithm it will iterate all 7 passes in which pass 6 and pass 7 will have same ordering of data as pass 5.
Question: Apply selection sort on the following sequence to arrange the numbers in ascending order.
| 10 | 17 | 6 | 2 | 20 |
| 2 | 17 | 6 | 10 | 20 |
| 2 | 6 | 17 | 10 | 20 |
| 2 | 6 | 10 | 17 | 20 |
| 2 | 6 | 10 | 17 | 20 |
| 2 | 6 | 10 | 17 | 20 |
Problems on Linked List
Question : Consider the following list1 and list2 as shown below. Combine the two list as shown, make sure that the cost of combining the two list should be constant [i.e. 0(1)].
Solution Following are the key statements (main logic) to get the desired list.
- cur = Last1->next; ( curr now point to node with data value 3)
- Last1->next = Last2->next; ( node value 9 in list1 will point to node value 33 in list 2)
- Last2->next = cur; (last node of list 2 now connect to first node of list 1, hence making circular list)
Alternatively, we can also use the following
- Node *next1 = last1->next; Node *next2 = last2->next;
- last1->next = next2; last2->next = next1;
Question : Write the logic to combine the two given list as shown below. Also comment on the cost of operations performed
Solution
- last1= Start;
- while(last1 ->next!=NULL) { last1 = last1->next; }
- last1->next = head; head->prev = last1;
Note : the time complexity is O(n) due to while loop that goes n-times, where n is the number of nodes in first list.
Problems on Stack
Question : Consider the following stack, where STACK is allocated N=6 memory cells
STACK: AAA , DDD, EEE, FFF, GGG ( this is present status of stack, AAA is the top element)
Describe the stack as the following operations take place:
PUSH(KKK), POP( ), PUSH(LLL), PUSH(SSS), POP( ), PUSH(TTT)
Solution The first element in the sequence represent Top element
| Operation | STACK | Comment (if any) |
| AAA , DDD, EEE, FFF, GGG | ||
| PUSH(KKK) | KKK, AAA , DDD, EEE, FFF, GGG | |
| POP( ) | AAA , DDD, EEE, FFF, GGG | |
| PUSH(LLL) | LLL, AAA , DDD, EEE, FFF, GGG | |
| PUSH(SSS) | LLL, AAA , DDD, EEE, FFF, GGG | OVERFLOW |
| POP( ) | AAA , DDD, EEE, FFF, GGG | |
| PUSH(TTT) | TTT, AAA , DDD, EEE, FFF, GGG |
Question: Convert the following INFIX expressions to their PREFIX equivalents
- Q1 – (A * B) + (C / D) – (D + E)
- Q2 – (A – B) + D / ((E + F) * G)
- Q3 – (A – 2 * (B + C) / D * E) + F
Step by step execution and status of STACK is as follows
Solution -1 (click for video explanation)
| Using Method-1 ((A * B) + (C / D) – (D + E) | ||
| Char | Stack | Expression |
| ) | ), ) | |
| E | ), ) | E |
| + | ), ), + | E |
| D | ), ), + | ED |
| ( | ) | ED + |
| – | ), – | ED + |
| ) | ), -, ) | ED + |
| D | ), -, ) | ED + D |
| / | ), -, ), / | ED + D |
| C | ), -, ), / | ED + DC |
| ( | ), – | ED + DC / |
| + | ), -, + | ED + DC / |
| ) | ), -, +, ) | ED + DC / |
| B | ), -, +, ) | ED + DC / B |
| * | ), -, +, ), * | ED + DC / B |
| A | ), -, +, ), * | ED + DC / BA |
| ( | ), -, + | ED + DC / BA * |
| ( | – + * A B / C D + D E (on reversing) | |
Solution –2
| Using Method-1((A – B) + D / ((E + F) * G) | ||
| Char | Stack | Expression |
| ) | ), ) | |
| G | ), ) | G |
| * | ), ), * | G |
| ) | ), ), *, ) | G |
| F | ), ), *, ) | GF |
| + | ), ), *, ), + | GF |
| E | ), ), *, ), + | GFE |
| ( | ), ), * | GFE + |
| ( | ) | GFE + * |
| / | ), / | GFE + * |
| D | ), / | GFE + * D |
| + | ), + | GFE + * D / |
| ) | ), +, ) | GFE + * D / |
| B | ), +, ) | GFE + * D / B |
| – | ), +, ), – | GFE + * D / B |
| A | ), +, ), – | GFE + * D / BA |
| ( | ), + | GFE + * D / BA – |
| ( | GFE + * D / BA – + | |
| Ans | on reversing | + – A B / D * + E F G |
Solution –3
| ((A – 2 * (B + C) / D * E) + F | ||
| Char | Stack | Expression |
| F | ) | F |
| + | ), + | F |
| ) | ), +, ) | F |
| E | ), +, ) | FE |
| * | ), +, ), * | FE |
| D | ), +, ), * | FED |
| / | ), +, ), *, / | FED |
| ) | ), +, ), *, /, ) | FED |
| C | ), +, ), *, /, ) | FEDC |
| + | ), +, ), *, /, ), + | FEDC |
| B | ), +, ), *, /, ), + | FEDCB |
| ( | ), +, ), *, / | FEDCB + |
| * | ), +, ), *, /, * | FEDCB + |
| 2 | ), +, ), *, /, * | FEDCB + 2 |
| – | ), +, ), – | FEDCB + 2 * / * |
| A | ), +, ), – | FEDCB + 2 * / * A |
| ( | ), + | FEDCB + 2 * / * A – |
| ( | + – A * / * 2 + BCDEF | |
Question : Evaluate the PREFIX expressions [ – + * A B / C D + D E ] using stack
[assume A=2, B=3, C=2, D=4, E=3, F=2, G=3]
Solution-1:– step by step using STACK (click for video explanation)
| [- + * A B / C D + D E] è – + * 2 3 / 2 4 + 4 3 | ||
| Char | Stack | Operation |
| 3 | 3 | |
| 4 | 3, 4 | |
| + | 7 | 4 + 3 = 7 |
| 4 | 7, 4 | |
| 2 | 7, 4, 2 | |
| / | 7, 0 | 2 / 4 = 0 |
| 3 | 7, 0, 3 | |
| 2 | 7, 0, 3, 2 | |
| * | 7, 0, 6 | 2*3=6 |
| + | 7, 6 | 6+0 |
| – | -1 | 6-7=-1 |
Solution-2 step by step using STACK
| [+ – A B / D * + E F G] è + – 2 3 / 4 * + 3 2 3 | ||
| Char | Stack | operation |
| 3 | 3 | |
| 2 | 3, 2 | |
| 3 | 3, 2, 3 | |
| + | 3, 5 | 3 + 2 = 5 |
| * | 15 | 5 * 3 = 15 |
| 4 | 15, 4 | |
| / | 0 | 4 / 15 = 0 |
| 3 | 0, 3 | |
| 2 | 0, 3, 2 | |
| – | 0, -1 | 2 – 3 = -1 |
| + | -1 | -1 + 0 = -1 |
Question : Convert the following INFIX expressions to their POSTFIX equivalents
Evaluate the POSTFIX expression 2 3 * 2 4 / + 4 3 + –
Problems on Queues
Question : Demomstrate the ENQUEUE/DEQUEUE operations on a Circular queue with size (N = 5). Show the status of Rear & Front after every operation
Question : Demomstrate the ENQUEUE/DEQUEUE operations on a Circular queue with size (N = 5). Show the status of Rear & Front after every operation
Perform Operations on DOUBLE ENDED QUEUE
Problems on Binary Trees
Question : Construct the binary tree for following Tree Traversal
Preorder 25 15 10 4 12 22 18 24 50 35 31 44 70 66 90
Postorder 4 12 10 18 24 22 15 31 44 35 66 90 70 50 25
Solution (click for video explanation)
Question : Construct an Expression tree for Postfix expression
A B C / D E % F * G / + H * –
Solution : (click for video explanation)
Question : Construct the Expression tree for Infix expression
(a + b) – (c * d) % (f ^g) / h – i
Solution : (click for video explanation)
Problems on Huffman Encoding
Question : For the string aaaapppsssappss, find the number of bits required if encoded using
- Default Encoding
- Uniform length encoding
- Variable length encoding
Solution : ( click for video explanation)
- Default Encoding: 15*8 = 120bits
- Uniform length encoding: (8*3 + 3*2) + (15*2) = 30 + 30 = 60bits
- Variable length encoding: (8*3 + 5) + (5*1 + 5*2 + 5*2) = 29 + 15 = 54bits
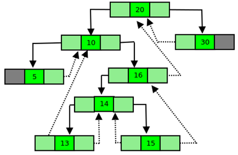
Problems on Threaded Binary Tree
Question : write necessary statements required to perform the operations in given threaded tree
Solution : ( click for video explanation)
Delete 10 (have two child – can use 1st case)
- s = inSucc(ptr);
- ptr->data = s->data;
- parent->l_thread =true;
- parent->left = s->left;
- free s;
Problems on B – Trees
Question : Insert the keys in B Tree of order 3
[ 45, 89, 90, 10, 35, 82, 15, 40, 80 ]
Solution (click for video explanation)
Question : Insert keys 2, 6, 10, 20, 78, 5, 90, 25, 4, 80, 85, 82 in B Tree of order 4
Question : Delete the keys in B Tree of order 3
Solution : (click for video explanation)
Question : Delete the keys 82, 20, 78, 6, 85, 10 in given B Tree of order 4
Question : Delete 25, 15, 32, 64, 12 from the given Btree of order 3
Problems on B + Trees
Question : Insert 2, 6, 10, 20, 78, 5, 90 in B+ tree of Order 3
Question : Delete 20, 10, 6 in a given B+ tree of Order 3




















